首页 单芯硬线内容详情

电压、电流和电阻之间有什么关系?

2025-09-18 34 线缆网

电压电流电阻的关系——欧姆定律详解

电压(U)、电流(I)和电阻(r)之间的关系由欧姆定律(Ohm's Law)描述,它是电学中最基础、最重要的定律之一。其核心公式为:

image.png

其中:

  • U 表示电压(单位:伏特,V)

  • I 表示电流(单位:安培,A)

  • R 表示电阻(单位:欧姆,Ω)

1. 欧姆定律的三种表达形式

欧姆定律可以通过公式变形来描述不同物理量之间的关系:

公式含义应用场景
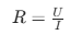
image.png电压等于电流乘以电阻计算电路中的电压降
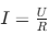
image.png电流等于电压除以电阻设计电路时确定电流大小
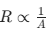
image.png电阻等于电压除以电流测量未知电阻值

2. 直观理解三者关系

(1)电压(U)——电的“推力”

  • 定义:电压是推动电荷移动的能量差,类似水压推动水流。

  • 举例

    • 家用插座电压为220V(中国)或110V(美国),电压越高,驱动电流的能力越强。

    • 电池的电压(如1.5V)决定了其供电能力。

(2)电流(I)——电的“流量

  • 定义:电流是单位时间内通过导体的电荷量,类似水管的流量。

  • 关键点

    • 电流大小取决于电压和电阻(image.png)。

    • 高压或低电阻会导致电流增大(如短路时电流极大)。

(3)电阻(R)——电的“阻碍”

  • 定义:电阻是导体对电流的阻碍作用,类似水管中的狭窄段。

  • 影响因素

    • 材料:电阻低(0.017Ω·mm²/m),铁电阻高(0.1Ω·mm²/m)。

    • 截面积:导线越粗,电阻越小(image.png)。

    • 长度:导线越长,电阻越大(image.png)。

3. 实际应用案例

案例1:计算灯泡电流

  • 问题:一个220V、100W的灯泡,电阻是多少?工作电流多大?

  • 解法

    1. 功率公式 image.png

    2. 欧姆定律 image.png

  • 问题:用2.5mm²铜线(电阻率0.017Ω·mm²/m)给10米外的设备供电,电流10A时电压降多少?

  • 解法

    1. 导线电阻 image.png

    2. 电压降 image.png

案例3:短路危险

  • 问题:为什么短路时电流极大?

  • 解析:短路时电阻image.png,根据 image.png,电流趋近无穷大(实际受电源内阻限制),导致发热甚至火灾。

4. 超纲知识(选读)

(1)非线性元件

  • 欧姆定律仅适用于线性电阻(如金属导体)。

  • 二极管、LED等非线性元件不遵循欧姆定律,其电流-电压关系呈指数曲线。

(2)交流电路中的阻抗

  • 交流电路中,电阻(R)扩展为阻抗(Z),包含电阻、感抗、容抗:
    image.png
    其中 image.png

5. 常见误区

  • 误区1:“电阻越大,电流越小,所以高电阻更安全。”

    • 事实:高电阻虽限制电流,但若功率$P = I^2R$过大(如电热丝),仍会发热引发火灾。

  • 误区2:“电压高一定危险。”

    • 事实:人体伤害取决于电流(≥10mA可致命),高压但高电阻(如静电)可能无害。

总结

  • 核心公式image.png —— 电压是电流和电阻的乘积。

  • 关键逻辑

    • 电压驱动电流,电阻限制电流。

    • 高压或低电阻 → 电流增大;低压或高电阻 → 电流减小。

  • 应用场景:电路设计、故障排查、电器选型均依赖欧姆定律。

记住:欧姆定律是电学的“牛顿第一定律”,一切复杂电路分析都从这里开始!

相关标签: # 电压 # 电流和电阻之间有什么关系? # 电流 # 电阻